Emulsifier
emulsifier หรือสารประสานน้ำ-น้ำมัน ที่ใช้ในอาหาร
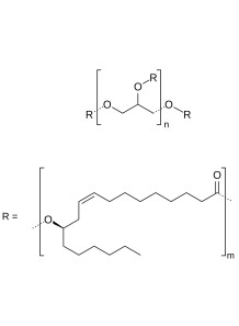
DATEM (Emulsifier for food)
นิยมนำมาใช้ทำขนมปังเพื่อให้เนื้อสัมผัสเคี้ยวหนึบ อีกทั้งยังใช้ในการผลิตไอศกรีมและน้ำสลัดอีกด้วย ทำหน้าที่รวมไขมันและน้ำเข้าด้วยกัน
INS472e
฿37.97
- อาหาร
- Soluble: ละลายในน้ำ, ละลายใน Alcohol, กระจายตัวในน้ำ, ละลายใน DMSO (Dimethyl Sulfoxide)
Lecithin Oil (Soybean, 60% Phopholipids)
Soy Lecithin เลซิตินบริสุทธิ์ ชนิดผง จากถั่วเหลือง ใช้ในอาหารเสริมบำรุงสมอง ใช้ในอาหารเสริม ป้องกันการอุดตันของเต้านม ในช่วงให้นมลูก (breast-feeding)
ชนิด น้ำมัน (Liquid)
฿68.88
- อาหาร
- Usage: 0.1-100%(0%)
- Soluble: ละลายในน้ำมัน, กระจายตัวในน้ำ, กระจายตัวครีมหรือเจล, กระจายตัวในแป้ง
- Cost: 0.45-450.00฿/kg
Sodium Stearoyl Lactylate (INS481)
วัตถุเจือปนอาหารที่ใช้เป็นอิมัลซิไฟเออร์และความคงตัว ได้มาจากเกลือโซเดียมของกรดสเตียริกและกรดแลคติค
INS481
฿35.00
- อาหาร
- Usage: 0.1-3%(0%)
- Soluble: ละลายในสารซักฟอก (Surfactant), กระจายตัวในน้ำ, กระจายตัวครีมหรือเจล
- Cost: 0.78-23.40฿/kg
ตะกร้า
ไม่มีสินค้า
Subtotal:
0.00
รวมทั้งสิ้น
0.00
THB