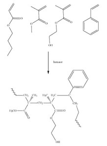
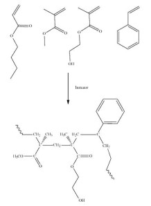
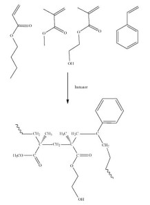
a synthetic resin formed by the reaction of dibasic organic acids and polyhydric alcohols
- General
- Usage: 0.1-1%(0.5%)
- Soluble: Soluble in glycols, Soluble in Ethoxydiglycol, Soluble in Ethanol, Soluble in DMSO (Dimethyl Sulfoxide)
- Cost: 0.78-7.80฿/kg